Nội dung chính
- Mục đích của bảng giá đất do UBND tỉnh Bà Rịa - Vũng Tàu quy định
- Cách xác định vị trí của các khu vực quy định trong bảng giá đất Bà Rịa - Vũng Tàu năm 2023
- Bảng giá đất tỉnh Bà Rịa - Vũng Tàu mới nhất (chi tiết cho từng huyện, thành)
- #3 lần điều chỉnh bảng giá đất tỉnh Bà Rịa - Vũng Tàu cần biết
- Tổng kết
Bảng giá đất Bà Rịa - Vũng Tàu 2023 chi tiết (theo QĐ 38)
Tìm hiểu bảng giá đất Bà Rịa - Vũng Tàu 2023 do UBND tỉnh Bà Rịa - Vũng Tàu quy định tại Quyết định 38/2019/QĐ-UBND về giá các loại đất trên địa bàn tỉnh giai đoạn 2020 - 2024.
Quyết định 38/2019/QĐ-UBND có hiệu lực từ ngày 01/01/2020 đến hết ngày 31/12/2024. Quyết định này thay thế cho Quyết định số 33/2018/QĐ-UBND ban hành ngày 21/12/2018 của UBND tỉnh về giá đất Bà Rịa - Vũng Tàu 2015 - 2019.
Cơ sở pháp lý của Quyết định 38/2019/QĐ-UBND căn cứ vào:
- Luật Tổ chức chính quyền địa phương ngày 19 tháng 6 năm 2015;
- Luật Ban hành văn bản quy phạm pháp luật ngày 22 tháng 6 năm 2015;
- Luật Đất đai ngày 29 tháng 11 năm 2013;
- Nghị định số 96/2019/NĐ-CP ngày 19 tháng 12 năm 2019 của Chính phủ quy định về khung giá đất;
- Nghị định số 44/2014/NĐ-CP ngày 15 tháng 5 năm 2014 của Chính phủ quy định về giá đất;
- Nghị định số 45/2014/NĐ-CP ngày 15 tháng 5 năm 2014 của Chính phủ quy định về thu tiền sử dụng đất;
- Nghị định số 46/2014/NĐ-CP ngày 15 tháng 5 năm 2014 của Chính phủ quy định về thu tiền thuê đất, thuê mặt nước;
- Nghị định số 47/2014/NĐ-CP ngày 15 tháng 5 năm 2014 của Chính phủ quy định về bồi thường, hỗ trợ, tái định cư khi Nhà nước thu hồi đất;
- Nghị định số 135/2016/NĐ-CP ngày 09 tháng 9 năm 2016 của Chính phủ sửa đổi, bổ sung một số điều của các Nghị định quy định về thu tiền sử dụng đất, thu tiền thuê đất, thuê mặt nước;
- Nghị định số 123/2017/NĐ-CP ngày 14 tháng 11 năm 2017 của Chính phủ sửa đổi, bổ sung một số điều của các Nghị định quy định về thu tiền sử dụng đất, thu tiền thuê đất, thuê mặt nước;
- Nghị định số 01/2017/NĐ-CP ngày 06 tháng 01 năm 2017 của Chính phủ sửa đổi, bổ sung một số Nghị định quy định chi tiết thi hành Luật Đất đai;
- Thông tư số 36/2014/TT-BTNMT ngày 30 tháng 6 năm 2014 của Bộ trưởng Bộ Tài nguyên và Môi trường quy định chi tiết phương pháp định giá đất; xây dựng, điều chỉnh bảng giá đất; định giá đất cụ thể và tư vấn xác định giá đất;
- Thông tư số 27/2018/TT-BTNMT ngày 14 tháng 12 năm 2018 của Bộ trưởng Bộ Tài nguyên và Môi trường quy định về thống kê, kiểm kê đất đai và lập bản đồ hiện trạng sử dụng đất;
- Nghị quyết số 117/NQ-HĐND ngày 13 tháng 12 năm 2019 của Hội đồng nhân dân tỉnh Bà Rịa – Vũng Tàu về việc thông qua Bảng giá các loại đất định kỳ 05 năm (01/01/2020-31/12/2024) trên địa bàn tỉnh Bà Rịa – Vũng Tàu;
- Theo đề nghị của Giám đốc Sở Tài nguyên và Môi trường tại Tờ trình số 7551/TTr-STNMT ngày 20 tháng 12 năm 2019 về việc ban hành Bảng giá các loại đất định kỳ 05 năm (01/01/2020 – 31/12/2024) trên địa bàn tỉnh Bà Rịa – Vũng Tàu.
Mục đích của bảng giá đất do UBND tỉnh Bà Rịa - Vũng Tàu quy định
Cũng như bảng giá đất ở các tỉnh thành khác, UBND tỉnh Bà Rịa - Vũng Tàu ban hành bảng giá đất giai đoạn 2020 - 2024 nhằm các mục đich sau:
| 1 | Tính tiền sử dụng đất khi Nhà nước công nhận quyền sử dụng đất ở của hộ gia đình, cá nhân đối với phần diện tích trong hạn mức; cho phép chuyển mục đích sử dụng đất từ đất nông nghiệp, đất phi nông nghiệp không phải là đất ở sang đất ở đối với phần diện tích trong hạn mức giao đất ở cho hộ gia đình, cá nhân |
| 2 | Tính thuế sử dụng đất |
| 3 | Tính phí và lệ phí trong quản lý, sử dụng đất đai |
| 4 | Tính tiền xử phạt vi phạm hành chính trong lĩnh vực đất đai |
| 5 | Tính tiền bồi thường cho Nhà nước khi gây thiệt hại trong quản lý và sử dụng đất đai |
| 6 | Tính giá trị quyền sử dụng đất để trả cho người tự nguyện trả lại đất cho nhà nước đối với trường hợp đất trả lại là đất nhà nước giao đất có thu tiền sử dụng đất, công nhận quyền sử dụng đất có thu tiền sử dụng đất, đất thuê trả tiền thuê đất một lần cho cả thời gian thuê |
| 7 | Xác định giá đất cụ thể theo phương pháp hệ số điều chỉnh giá đất quy định tại Khoản 5, Điều 4 và Khoản 2, Điều 18 Nghị định số 44/2014/NĐ-CP ngày 15 tháng 5 năm 2014 của Chính phủ quy định về giá đất |
| 8 | Xác định hỗ trợ đào tạo, chuyển đổi nghề và tìm kiếm việc làm đối với trường hợp Nhà nước thu hồi đất nông nghiệp của hộ gia đình, cá nhân trực tiếp trực tiếp sản xuất nông nghiệp quy định tại Nghị định số 47/2014/NĐ-CP ngày 15 tháng 5 năm 2014 của Chính phủ quy định về bồi thường, hỗ trợ và tái định cư khi Nhà nước thu hồi đất. |
Lưu ý: Quyết định 38 bảng giá đất tỉnh Bà Rịa - Vũng Tàu không áp dụng cho trường hợp mua bán trên thực tế. Lý do: Thị trường nhà đất Bà Rịa - Vũng Tàu thay đổi từng ngày, trong khi đó giá đất do UBND quy định lại mang tính chất cố định trong 5 năm. Tuy nhiên anh/chị có thể xem đây là căn cứ để định giá đất cho từng khu vực. Sau khi định giá dựa trên bảng giá này, anh/chị cần cộng thêm từ 15 - 30% (tùy khu vực) để ra được giá đất thực tế.
Cách xác định vị trí của các khu vực quy định trong bảng giá đất Bà Rịa - Vũng Tàu năm 2023
Bảng giá đất phân chia khu vực thành nhiều vị trí khác nhau, và giá đất ở mỗi vị trí sẽ có sựu khác biệt tương ứng. Để đọc - hiểu bảng giá đất, bạn cần biết cách xác định từng vị trí của các khu vực.
Điều 4 Quyết định số 38/2019/QĐ-UBND quy định về cách xác định vị trí của đất nông nghiệp và đất phi nông nghiệp tại khu vực nông thôn và trong đô thị như sau:
Đối với thửa đất mặt tiền (có cạnh tiếp giáp với đường có quy định giá trong bảng giá đất):
| Vị trí 1 | Là đất thuộc thửa đất này trong phạm vi cự ly từ trên 0m đến 50m tính từ ranh giới mặt tiền hợp pháp của thửa đất |
| Vị trí 2 | Là đất thuộc thửa đất này trong phạm vi cự ly từ trên 50m đến 100m |
| Vị trí 3 | Là đất thuộc thửa đất này trong phạm vi cự ly từ trên 100m đến 150m |
| Vị trí 4 | Là đất thuộc thửa đất này trong phạm vi cự ly từ trên 150m đến 200m |
| Vị trí 5 | Là đất thuộc thửa đất này trong phạm vi cự ly từ trên 200m |
Đối với thửa đất trong hẻm, ngõ xóm (có cạnh tiếp giáp với đường không quy định giá trong bảng giá đất):
| Vị trí 1 | Không áp dụng |
| Vị trí 2 | Áp dụng cho những thửa đất nằm ở mặt tiền đường hẻm, đường ngõ xóm, có chiều rộng từ 4m trở lên và kéo dài đến 100m tính từ đường chính; vị trí 3 được tính sau mét thứ 100 đến mét thứ 200; vị trí 4 được tính sau mét thứ 200 đến mét thứ 300; vị trí 5 được tính sau mét thứ 300. |
| Vị trí 3 | Áp dụng đối với thửa đất nằm ở mặt tiền đường hẻm, đường ngõ xóm có chiều rộng lớn hơn 1,5m và nhỏ hơn 4m, kéo dài đến 100m tính từ đường chính; vị trí 4 được tính sau mét thứ 100 đến mét thứ 200; vị trí 5 được tính sau mét thứ 200. |
| Vị trí 4 | Áp dụng đối với thửa đất nằm ở mặt tiền đường hẻm, đường ngõ xóm, có chiều rộng từ 1,5m trở xuống và kéo dài đến mét thứ 100 tính từ đường chính; vị trí 5 được tính sau mét thứ 100. |
| Vị trí 5 | Áp dụng đối với thửa đất trong các trường hợp còn lại, không thuộc vị trí 1, 2, 3, 4 đã quy định trên đây. |
Bảng giá đất tỉnh Bà Rịa - Vũng Tàu mới nhất (chi tiết cho từng huyện, thành)
- Bảng giá đất Tp. Vũng Tàu
Khu vực đô thị
Bảng giá đất ở:














Bảng giá đất thương mại - dịch vụ:














Bảng giá đất sản xuất - kinh doanh:














Khu vực nông thôn
Bảng giá đất ở:


Bảng giá đất thương mại - dịch vụ:


Bảng giá đất sản xuất - kinh doanh:


- Bảng giá đất Tp. Bà Rịa
Khu vực đô thị




















Bảng giá đất nông nghiệp
Đơn vị tính: nghìn đồng/m2
| - Ở khu vực đô thị | VT1 | VT2 | VT3 | VT4 | VT5 | |
| Đất trồng cây lâu năm, hàng năm | 338 | 304 | 271 | 238 | 204 | |
| Đất rừng sản xuất | 171 | 154 | 137 | 120 | 103 | |
| Đất rừng đặc dụng, đất rừng phòng hộ | 114 | 103 | 91 | 80 | 69 | |
| - Ở khu vực nông thôn | ||||||
| Đất trồng cây lâu năm, hàng năm | KV1 | 270 | 245 | 220 | 190 | 165 |
| KV2 | 245 | 220 | 195 | 170 | 145 | |
| Đất nuôi trồng thủy sản | KV1 | 225 | 204 | 183 | 158 | 137 |
| KV2 | 204 | 183 | 163 | 142 | 121 | |
| Đất rừng sản xuất | KV1 | 137 | 123 | 119 | 96 | 82 |
| KV2 | 123 | 111 | 99 | 86 | 74 | |
| Đất rừng đặc dụng, đất rừng phòng hộ | KV1 | 91 | 82 | 73 | 64 | 55 |
| KV2 | 82 | 74 | 66 | 57 | 49 |
- Bảng giá đất thị xã Phú Mỹ
Khu vực đô thị







Khu vực nông thôn


- Bảng giá đất huyện Châu Đức
Khu vực đô thị

Khu vực nông thôn




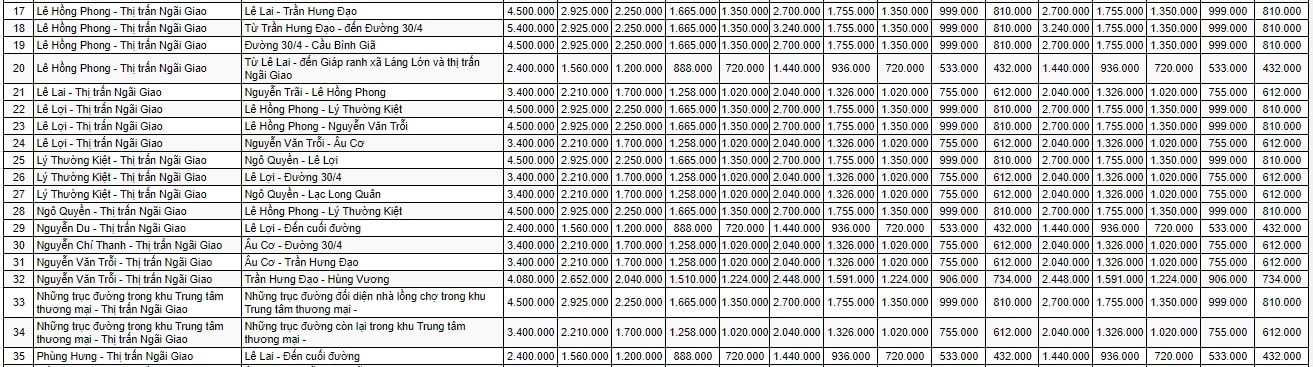
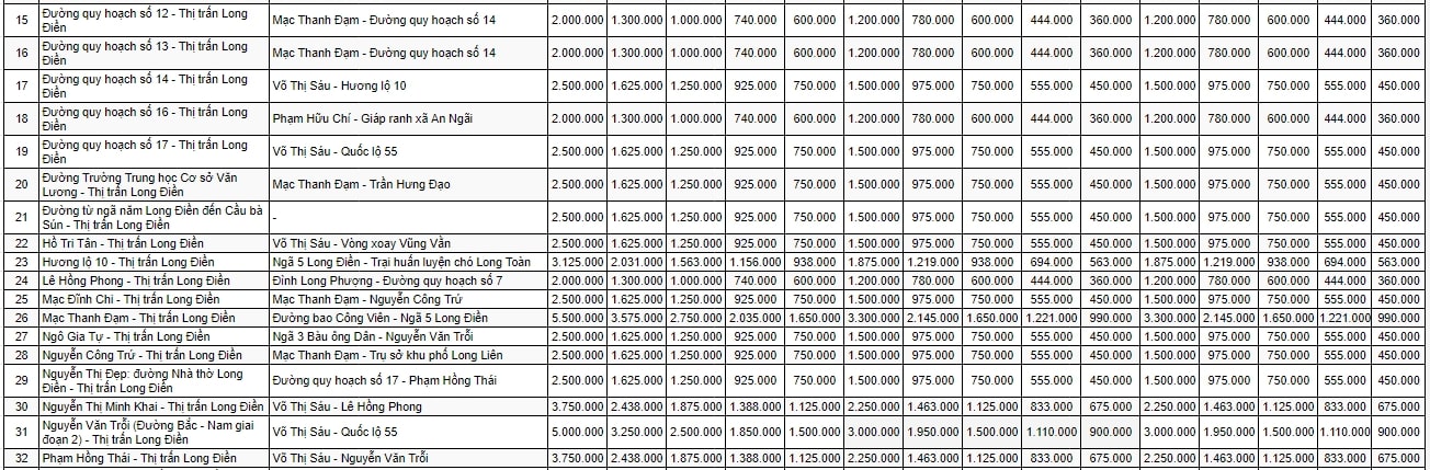
- Bảng giá đất huyện Long Điền
Khu vực đô thị




Khu vực nông thôn



- Bảng giá đất huyện Xuyên Mộc
Khu vực đô thị


Khu vực nông thôn






- Bảng giá đất huyện Đất Đỏ
Khu vực đô thị




Khu vực nông thôn

- Bảng giá đất huyện Côn Đảo



#3 lần điều chỉnh bảng giá đất tỉnh Bà Rịa - Vũng Tàu cần biết
Bảng giá đất nói trên mang tính chất cố định 5 năm mới thay đổi một lần, trong khi đó giá đất trên thực tế thì thay đổi mỗi ngày. Đặc biệt là khi tiềm năng đất Bà Rịa - Vũng Tàu ngày càng bộc lộ rõ nét, hoạt động mua bán nhà đất Bà Rịa - Vũng Tàu diễn ra sôi động và các cơn sốt đất Bà Rịa - Vũng Tàu diễn ra thường xuyên đã đẩy giá đẩy nơi đây lên một mức cao. Vì vậy, để quyết định bảng giá đất Bà Rịa - Vũng Tàu phù hợp với thực tế, mỗi năm UBND tỉnh sẽ có những quyết định mới về việc điều chỉnh giá đất.
Cụ thể:
Điều chỉnh giá đất trong năm 2021
Quyết định số 02/2021/QĐ-UBND ban hành ngày 05/03/2021, có hiệu lực từ ngày 15/03/2021 cho đến khi có quyết định mới, quy định hệ số điều chỉnh giá đất trên địa bàn tỉnh Bà Rịa - Vũng Tàu năm 2021 như sau:
| Khu vực | Hệ số điều chỉnh | |
| Tp. Vũng Tàu | Tuyến đường thuộc đô thị | 1.4 - 1.7 |
| Tuyến đường nối vuông góc đường 30/4 Khu Bến Đình | 1.7 | |
| Tuyến đường thuộc khu 240 Lê Lợi, phường 7 | 1.7 | |
| Tuyến đường thuộc trung tâm Chí Linh, phường 10 và phường Nguyễn An Ninh | 1.6 | |
| Tuyến đường thuộc khu vực nông thôn | 1.4 | |
| Tp. Bà Rịa | Tuyến đường thuộc đô thị | 1.4 |
| Tuyến đường khu Gò Cát | 1.4 | |
| Tuyến đường khu tái định cư H20, khu dân cư Triều Phát, khu dân cư Long Toàn 2, khu tái định cư công viên 30-4, khu tái định cư Đồng Mắt Mèo, khu tái định cư Bắc Hương lộ 10, khu tái định cư Phước Hưng, khu tái định cư Long Tâm, khu tái định cư Kim Dinh | 1.4 | |
| Tuyến đường thuộc khu vực nông thôn | 1.3 - 1.4 | |
| Thị xã Phú Mỹ | Tuyến đường thuộc khu vực đô thị phường Phú Mỹ | 1.5 |
| Tuyến đường đô thị thuộc phường Mỹ Xuân, Tân Phước, Phước Hòa và Hắc Dịch | 1.30 | |
| Tuyến đường khu vực nông thôn tại các xã: Tân Hòa, Tân Hải, Tóc Tiên, Châu Pha và Sông Xoài | 1.15 | |
| Huyện Châu Đức | Tuyến đường thuộc đô thị | 1.3 |
| Tuyến đường thuộc nông thôn | 1.2 - 1.3 | |
| Huyện Xuyên Mộc | Tuyến đường thuộc đô thị | 1.25 |
| Tuyến đường thuộc nông thôn | 1.15 - 1.25 | |
| Huyện Long Điền | Tuyến đường thuộc đô thị tại thị trấn Long Điền | 1.3 |
| Tuyến đường thuộc đô thị tại thị trấn Long Hải | 1.5 | |
| Tuyến đường thuộc khu vực nông thôn | 1.2 - 1.5 | |
| Huyện Đất Đỏ | Tuyến đường thuộc đô tại thị trấn Đất Đỏ | 1.25 |
| Tuyến đường thuộc đô thị tại thị trấn Phước Hải | 1.25 | |
| Tuyến đường thuộc khu vực nông thôn | 1.15 | |
| Huyện Côn Đảo | Tuyến đường trên toàn huyện | 1.2 |
Điều chỉnh giá đất trong năm 2022
Sáng 25/10/2021, UBND tỉnh Bà Rịa - Vũng Tàu đã có cuộc họp về việc điều chỉnh bảng giá đất các loại định kỳ 5 năm (2020 - 2024) dựa trên những đề xuất của Sở Tài nguyên và Môi trường (TN&MT) tỉnh.
Theo đó, Sở TN&MT căn cứ vào tình hình thực hiện bảng giá đất định kỳ 5 năm và tổng hợp dữ liệu giá đất cụ thể trên địa bàn tỉnh trong 2 năm thực hiện (năm 2020 và năm 2021), đồng thời lấy ý kiến của các sở, ngành để định hướng, xây dựng, điều chỉnh giá đất cho phù hợp. Sở TN&MT đề nghị:
- Tăng giá đất nông nghiệp khu vực đô thị và nông thôn;
- Tăng giá đất ở, đất sản xuất kinh doanh, thương mại dịch vụ;
- Sửa đổi, hoàn thiện một số nội dung về cách xác định vị trí đất theo tuyến đường;
- Điều chỉnh, bổ sung một số tuyến đường, đoạn đường, khu vực đã được đầu tư hoàn chỉnh, nâng cấp hoặc điều chỉnh đổi tên tuyến đường, điểm đầu, điểm cuối tuyến đường, điều chỉnh cấp loại đường, tuyến đường.
Ông Nguyễn Công Vinh - Phó Chủ tịch UBND tỉnh Bà Rịa - Vũng Tàu đề nghị Sở TN&MT tiếp tục lấy ý kiến của các sở, ngành, địa phương để làm căn cứ bổ sung, hoàn thiện dự thảo về việc xây dựng, điều chỉnh bảng giá các loại đất định kỳ, sau đó trình lên hội đồng thẩm định.
Việc điều chỉnh bảng giá các loại đất này sẽ được áp dụng từ ngày 01/01/2022 đến ngày có thông báo mới.
Điều chỉnh giá đất trong năm 2023
Quyết định số 25/2022/QĐ-UBND đã sửa đổi, bổ sung bảng giá các loại đất định kỳ 5 năm trên địa bàn tỉnh, áp dụng từ ngày 1/1/2023.
Dưới đây là một số thay đổi về bảng giá đất Bà Rịa - Vũng Tàu người dân cần nắm:
- Giá đất đô thị ở các phường thuộc Tp. Vũng Tàu từ 6,3 triệu đồng/m2 đến 48,7 triệu đồng/m2 tùy vị trí, đoạn đường.
- Những tuyến đường đẹp thuộc Tp. Vũng Tàu như: Trưng Trắc, Trưng Nhị, Bacu, Lý Thường Kiệt (từ Phạm Ngũ Lão đến Lê Quý Đôn), Trần Hưng Đạo, Đồ Chiểu (từ Lý Thường Kiệt đến Lê Lai), Nguyễn Văn Trỗi, Thùy Vân, Hoàng Hoa Thám (từ Thùy Vân đến Võ Thị Sáu) sẽ có mức giá riêng, trong đó cao nhất là 65 triệu đồng/m2.
- Các phường của Tp. Bà Rịa sẽ được điều chỉnh mức giá mới, dao động từ 2,6 triệu đồng/m2 đến 24,9 triệu đồng/m2.
- Đất ở đô thị thuộc các phường TX. Phú Mỹ và thị trấn thuộc huyện: Châu Đức, Xuyên Mộc, Long Điền, Đất Đỏ sẽ có giá mới từ 641.000 đồng/m2 đến 19,8 triệu đồng/m2.
- Giá đất ở nông thôn sẽ được thay đổi như sau: TX. Phú Mỹ từ 1,1 - 5,8 triệu đồng/m2; huyện Châu Đức và Long Điền từ 481.000 đồng/m2 -- 3,9 triệu đồng/m2;...
Bảng hệ số thay đổi giá đất từng khu vực ở Bà Rịa - Vũng Tàu năm 2023 sẽ được áp dụng như sau:
| Tp. Vũng Tàu, Tp. Bà Rịa và các huyện: Châu Đức, Xuyên Mộc, Long Điền | Áp dụng hệ số 1,78 đối với mọi tuyến đường ở khu vực nông thôn và đô thị. |
| Huyện Đất Đỏ |
|
| Thị xã Phú Mỹ |
|
| Huyện Côn Đảo | Áp dụng hệ số 2,78 cho tất cả các tuyến đường. |
Tổng kết
Trên là bảng giá đất Bà Rịa - Vũng Tàu 2023 chi tiết cho các huyện, thành; đồng thời là thông tin mới nhất về việc điều chỉnh bảng giá đất theo từng năm. Để nắm bắt giá đất chính xác và sự thay đổi giá đất theo từng năm, hãy thường xuyên truy cập website bariavungtau.city để cập nhật những thông tin mới nhất.
Xem thêm:

